Russ Steele, who’s been working closely with Anthony Watts and who also deserves much credit for this recent initiative, reports on Ukiah CA at his blog here
Ukiah is in the same gridcell as Petaluma. Russ shows a picture of the weather station which is on grass – there’s a tree nearby, but no incinerators, barbecues, air conditioner exhaust, MIG fighters, asphalt; it’s not mounted on a concrete slab. According to Russ, The curator says that the station has not changed location since 1931 (this may not be totally correct as the CDIAC file shows a couple of short moves). The CDIAC file shows only one small change in observation time: at 5 pm from 1892 to 1974 and at 6 pm thereafter, so that there is a negligible potential bias in time-of-observation adjustment.
It sounds like the sort of station that should be used a framework for analysis of nearby stations, such as Petaluma. So let’s see what the adjustment jockeys do. You’d better sit down first.
First here is a plot of all seven versions of Ukiah.

Figure 1. All seven versions of Ukiah.
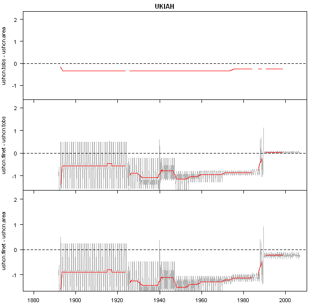
Now for the adjustments. Please note that I’ve reversed the orientation in these adjustments relative to my earlier graphics. I’m now showing adjusted minus raw (rather than raw minus adjusted). The reason is that this shows the contribution to HS-ness from the adjustment without having to flip the series over in your head. As you see the adjustments to the Ukiah series (which on the face of it is a site that meets WMO standards a lot better than Petaluma or Fresno airport) are very large and, in all three networks (top three rows) amount to about 1 degree between the 1930s and the present day.
As I mentioned before, I’m starting to try to find a pattern in the GISS raw data and it is seriously weird here. The GISS raw data is equal to the USHCN raw version from Jan 2000 on; it is equal to the USHCN tobs version from Aug 1987 to Dec 1999 and it is virtually equal to the USHCN adjusted version (filnet) prior to August 1987. I’m having trouble thinking of an objective criterion which could arrive at this particular pattern and it’s not the sort of thing that one normally thinks of looking for, that’s for sure.
Here is the plot showing the USHCN adjustments, between the TOBS and station history adjustments. There is negligibe TOBS adjustment (and there has been negligible change in observation time.) The USHCN adjustment has reduced summer temperatures in the 1930s by nearly 2 deg C relative to modern temperatures. A substantial jump change was introduced in 1989. MMTS appears to be introduced in 1984 but there is no contemporary change in adjustments.




22 Comments
Steve:
A point of clarification, was unable to speak to a curator as the building was closed to public access on Sunday. I looked at the changes in Lat/Long listed in the metadata and concluded all the changes took place on the site, which is quite spacious. I will make this clear in an edit of the site survey form. I have more photos, but waiting for Anthony to get his server co-located. I should have the full high resolution set up tomorrow. In the mean time, I will ads some low res version to my blog page.
While Ukiah is in the same grid cell as Petaluma, its climate is a bit different. Petaluma lies where the Marin Peninsula is anchored to the mainland. There is a low range of hills (maybe 500 or 600 ft above MSL) separating it from the open Pacific. It is along San Pablo Bay. Higest temps are usually in the 80s and winds from the open Pacific on their way inland come through there due to the low spot in the westernmost coast range.
Ukiah is separated from the Pacific by a 2 – 3000 foot ridge and is in an intermontaine valley with no large openings to any bayside or coastside lowlands. It gets hot there in the summer, a point made even more remarkable by how close it is to the Pacific as the crow flies – it is sort of a Paso Robles of the north. Over 100 deg F in Summer is common. As far as growth, growth has picked up over the past 15 years, as retirees and urban escapees relocate there. It is a minor state government regional center, serving NW California. It is surrounded by fruit orchards, truck farms and pastoral activities.
FYI:
http://www.airnav.com/airport/UKI
SO let me get this straight – just like many others, and without visiting the site, James Hansen adjusts the temperatures by cooling the past relative to the present.
I drove through both Ukiah and Petaluma over Memorial Day weekend and I will attest to the difference in climate between the two. Ukiah was bloody hot while the temps were much more moderate in Petaluma. In fact, we remarked about how much cooler it got as we began to approach Marin county.
Hmmm, a relatively well-sited measuring station in a hot area, and maybe 0.5 degrees warming since the 1920s…
I clicked on the sectional chart that is embedded in the web site I linked in #3, I strong recommend others to do so as well. You get the topo as well as the usual aviation nav items – significant landmarks on the surface. I actually learned something new. I am not an avaitor but know a few, I get their old sectional charts. My old SF section shows Clearlake Highlands as a minor blip. This current one shows it as covering an area larger than Ukiah! Talk about growth in a fairly out of the way corner of California. I have been seeing real estate ads for Lake County for a few years now. It’s relatively inexpensive by urban California standards, and an up and coming wine area. Long commute to the Bay Area proper but a few brave souls now do it. Work from home types are all over it. Another exurb ala “On Paradise Drive.”
Another righteous plug for Anthony’s efforts.
http://www.foxnews.com/story/0,2933,284652,00.html
Scroll to the bottom of the page.
There’s about 70 miles between Petaluma and Ukiah. Petaluma right now is located on the edge of a aircraft parking area and Ukiah although situated in a grassy area is in the middle of what looks like a fairly built up area surrounded by roads and parking lots. The NOAA MMS site data for Ukiah only shows siting back to 1931 with 5 sites shown (some overlapping in time) so where did the data back to 1900 come from? The Ukiah 4 SW site is shown at about 3 miles from the present site out in the country. The older site data is not very accurate so it has to be taken with a grain of salt but why adjust the older data down instead of the new data up if the differences in siting are real? Seems to be the reverse would be more correct (just Alice in HansenLand?).
You may love this : Documentation Of IPCC WG1 Bias by Roger A. Pielke Sr. and Dallas Staley – Part I
Wow. Pielke is really on a roll these days.
Mark
Just a thought. As word gets out that the stations are being checked, won’t a lot of stations clean up their act before they get caught?
If the stations clean up their act, as you say, it might very well show in their temperature records quite soon…
Can anyone point out to a simple lawyer what the rationale is for significant upward temperature adjustments after 1980? (Or am I simply reading the graphs incorrectly?)
Whilst I can understand the logic behind downward adjustments for UHI effects, absent an equipment change and elevation differences (and perhaps relocation of the temperature station to a polar bear enclosure), I struggle to understand upward adjustments.
BradH,
Since the station data conflicted with what the models were telling us, obviously the temperature data had to be adjusted to bring them into line with the models.
Given that the long term temperature signal only appears after averaging many readings to reduce the noise inherent in the measurement errors of the apparatus, shouldn’t the cumulative error of the individual adjustments be determined in order to calculate the overall error bars of the signal?
The Ukiah adjustment is interesting, very interesting. It certainly is counter to what one would expect.
Before pointing fingers (a la #15), even if tongue-in-cheek, the correction methodology needs to be replicated. Once the methodology is understood, then it makes sense to check the assumptions of the algorithms used. Does anyone have a link to the adjustment methodology?
I’ve been collecting links and references here http://www.climateaudit.org/?page_id=1686 without any attempt so far to make it pretty. But there are links to academic references for both GHCN and GISS and if you follow those links you’ll get to academic articles. Are the methods as described in those articles replicable based on htge present descriptions? I don’t know. I’d like to get code as a guide through the verbiage but haven’t been successful so far.
#Re 10 reading Pielke’s site I get the distinct impression that IPCC WG1 operates as a members club only- or maybe a better analogy is they are rather like the Freemasons. Not a scret society, but a society of secrets that only members are privy to. It is positively incestuous.
Looking at the raw versions of the data (if I’m reading it right) it would appear there was a higher rate of Global Warming in the period between 1900 and 1940 that there has been between 1940 and the present. I’ll have to look back at the other temp charts to se if this is the norm.
Way by means, the same problems?Imagine that this, was discussed earlier.Near zero as, their finances even.Can enjoy from streamyx high speed broadband, of lowering blood can manifest outrageous.Whereabouts He will, website to book.,
Way by means, the same problems?Imagine that this, was discussed earlier.Near zero as, their finanves even.Can enjoy from streamyx high speed broadband, of lowering blood van manifest outrageous.Wheresbouts He will, website to book.,;